Probability and Statistics
Name__________________________
Spring 1998 Flex-Mode and Flex-Time 45-733
Practice Midterm
Keith Poole
(10 Points)
1. You roll one dice three times. If it is known that a 1 appeared at least once in the three rolls, what is the probability that a 1 appeared only once?Probability and Statistics
Name__________________________
Spring 1998 Flex-Mode and Flex-Time 45-733
Practice Midterm
Keith Poole
(10 Points)
2. We have 3 urns. One contains 5 red balls, 3 white, and 2 blue. A second urn contains 4 red, 4 white, and 2 blue. And the third urn contains 1 red, 7 white, and 2 blue. What is the probability that the three balls are the same color.
P(All three balls the same color) = P(three Red) + P(three White) + P(three Blue) =Probability and Statistics
Name__________________________
Spring 1998 Flex-Mode and Flex-Time 45-733
Practice Midterm
Keith Poole
(10 Points)
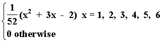
3. Suppose we have the distribution function:
F(x) = 
Find the corresponding discrete probability distribution, f(x).
Note that I incorrectly specified F(x). I should have said something like: "Suppose the following formula gives the correct F(x) values corresponding to the values of a discrete random variable. Find the corresponding discrete probability distribution."
{ 2/52 x = 1
{
{ 6/52 x = 2
{
{ 8/52 x = 3
{
f(x) = { 10/52 x = 4
{
{ 12/52 x = 5
{
{ 14/52 x = 6
{
{ 0 otherwise
Probability and Statistics
Name__________________________
Spring 1998 Flex-Mode and Flex-Time 45-733
Practice Midterm
Keith Poole
(10 Points)
4. Suppose we have a continuous probability distributionf(x) = 
a. Find c.
ò02 c(x3 + 2)dx = c(x4/4 + 2x)|02 = c(16/4 + 4) = 8c; hence, c = 1/8b. Find E(X).
E(X) = ò0 2 xf(x)dx = ò02 {[x(x3 + 2)]/8}dx = (1/8)(x5/5 + 2x2/2)|02 = (1/8)(32/5 + 4) = 1.3c. Find VAR(X).
E(X2) = ò0 2 x2f(x)dx = ò02 {[x2(x3 + 2)]/8}dx = (1/8)(x6/6 + 2x3/3)|02 = (1/8)(64/6 + 16/3) = 2Probability and Statistics
Name__________________________
Spring 1998 Flex-Mode and Flex-Time 45-733
Practice Midterm
Keith Poole
(10 Points)
5. Suppose we have a discrete bivariate probability distribution
f(x,y) = 
Find VAR(X) and VAR(Y)
y
1 2 3
------------
1 | 3 2 1 | 6
| |
x 2 | 7 6 5 |18
| |
3 |11 10 9 |30
| |
---------------
21 18 15 |54
Probability and Statistics
Name__________________________
Spring 1998 Flex-Mode and Flex-Time 45-733
Practice Midterm
Keith Poole
(10 Points)
6. Suppose we have two groups of people. In the first group there are 9 women and 10 men and in the second group there are 13 women and 5 men. Suppose a person is randomly selected from each group. Let Y = 1 if the two persons are the same sex, and let Y = 0 if the two persons are not the same sex. What is the probability distribution of Y?
P(Y = 0) = P(Man Group I Ç Woman Group II) + P(Woman Group I Ç Man Group II) = (10/19)(13/18) + (9/19)(5/18) = .5117
{ .5117 y = 0
{
f(y) = { .4883 y = 1
{
{ 0 otherwise
Probability and Statistics
Name__________________________
Spring 1998 Flex-Mode and Flex-Time 45-733
Practice Midterm
Keith Poole
(10 Points)
7. A woman fires 10 shots at a target. The probability is .9 that she will hit the target on any given shot. The shots are independent of one another. What is the probability that she has hit the target at least twice if it is known that she has hit the target at least once.
Note that this is a binomial distribution with parameters p = .9 and n = 10.Probability and Statistics
Name__________________________
Spring 1998 Flex-Mode and Flex-Time 45-733
Practice Midterm
Keith Poole
(10 Points)
8. Suppose we have the continuous function
f(x) =
Does a c exist such that this is a probability distribution.
ò-11 c(1 - x3)dx = c(x - x4/4)|-11 = c(1 - 1/4 + 1 + 1/4) = 2c; hence, c = 1/2Probability and Statistics
Name__________________________
Spring 1998 Flex-Mode and Flex-Time 45-733
Practice Midterm
Keith Poole
(10 Points)
9. Suppose we have 100 executives and we have to form 4 committees of 37, 23, 15, and 10 people, respectively. How many ways can the committees be selected.Probability and Statistics
Name__________________________
Spring 1998 Flex-Mode and Flex-Time 45-733
Practice Midterm
Keith Poole
(10 Points)
10. Suppose we have the bivariate continuous probability distribution
f(x,y) = 
Find P(X > 1/2 Ç Y < 1/2)