45-733 PROBABILITY AND STATISTICS I

A SHORT GUIDE TO HYPOTHESIS TESTING


  1. Ho: m = mo
    H1: m = m1 > mo

    Test: If > mo + c then reject Ho

    1. To find c when s2 is known

      To solve for c (a) fix a (c) and use Z table.

    2. To find c when s2 is not known, large sample

      To solve for c (a) fix a (c) and use Z table.

    3. To find c when s2 is not known, small sample from N(m, s2)

      Where T has a t distribution with n - 1 degrees of freedom. To solve for c (a) fix a (c) and use t table.

  2. Ho: m = mo
    H1: m ¹ mo


    Test: If > mo + c or - < mo - c then reject Ho.

    1. To find c when s2 is known



      To solve for c (a) fix a (c) and use Z table.

    2. To find c when s 2 is not known, large sample



      To solve for c (a) fix a (c) and use Z table.

    3. To find c when s2 is not known, small sample from N(m , s2)



      Where T has a t distribution with n - 1 degrees of freedom. To solve for c (a) fix a (c) and use t table.

  3. Ho: m 1 - m2 = 0
    H1: m1 - m2 ¹ 0


    Test: If then reject Ho.

    1. To find c when s12 and s22 are known



      To solve for c (a) fix a (c) and use Z table.

    2. To find c when are not known, large sample



      To solve for c (a) fix a (c) and use Z table.

    3. To find c when are not known, small samples from N(m , s2)



      Where T has a t distribution with n + m - 2 degrees of freedom and s2 is given by:



      To solve for c (a) fix a (c) and use t table.

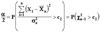
  4. Ho: s2 =
    H1: s2 =


    Test: If then reject Ho.

    To find c2 set



    and use the chi-square table with n - 1 degrees of freedom.

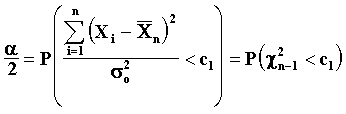
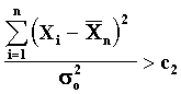
  5. Ho: s2 =
    H1: s2 =


    Test: If then reject Ho.

    To find c1 and c2 set

    and use the chi-square table with n - 1 degrees of freedom.

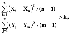
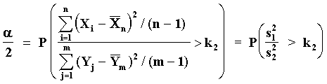
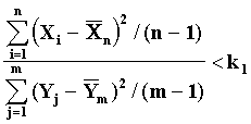
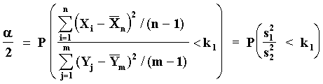
  6. Ho:
    H1:


    Test: If or

    then reject Ho. To find k1 and k2 set





    Use the F table with n - 1 and m - 1 degrees of freedom to find k2 and then use the reciprocal of the entry for m - 1 and n - 1 degrees of freedom for k1.