45-733 Probability and Statistics I
(3rd Mini AY 1997-98 Flex-Mode and Flex-Time)
Assignment #6 Answers
7.19
=
=
2*0.9773 - 1 = 0.9546
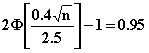
7.20
=


7.21 We are given: m = 5.00,
s = .50, and n = 64. We are
asked to compute:
_
P(Xn £ 4.90) = P[Z £ (4.90 - 5.00)/.5/8] =
P(Z £ -1.6) = F(-1.6) = .0548
8.40(a) 
1-a = 0.98,
a = 0.02,
a/2 = 0.01,
Z0.01 = 2.33
Confidence limits are :

98 % confidence limits are (0.484,0.588)
(b) Yes. There is no evidence that the graduation rate has changed.
8.41 
1-a = 0.99,
a = 0.01,
a/2 = 0.005,
Z0.005 = 2.58
Confidence limits are :

98 % confidence limits are (0.784,0.826)
^
8.43(a) We are given p = 2/3, n = 224, a = .10, Z.05 = 1.645
^ ^ ^
p ± Za/2[p(1 - p)/n] = 2/3 ± 1.645{[(2/3)(1/3)]/224}1/2 =
.667 ± .052 = (.615, .719)
(b) Because the entire interval is greater than 1/2, it is reasonable
to believe that most of the children think that they would like to travel
in space.
8.45 1-a = 0.95,
a = 0.05,
a/2 = 0.025,
Z0.025 = 1.96,
m = 30, n = 30
Use large sample confidence interval

or (15.72, 36.677)
8.51 Large sample CLT proportions
1-a = 0.98,
a = 0.02,
a/2 = 0.01,
Z0.01 = 2.33

or (-0.05, 0.18)
8.74(a) 1-a = 0.95,
a = 0.05,
a/2 = 0.025,
t0.025 = 2.048 (28 degrees of freedom)

or (-120.55, -55.45)
(b) 

or (-9.8, 71.8)
(c) For the verbal scores, the confidence limits are below 0
indicating that the two populations differ.
For the math scores, 0 is in the interval, so there is not evidence to
conclude that there is a difference.
(d) Must assume samples are drawn from a NORMAL distribution.
8.86 From the data stated in the problem we can calculate:
s2 = 144.5, a = .01,
a/2 = .005,
C1 = .20699, C2 = 14.8602.
The 99% confidence interval for s2 is:
P[(n - 1)s2]/C2 < s2 <
[(n - 1)s2]/C1] = .99
And the endpoints of the interval are: (4*144.5)/14.8602 = 38.9 and
(4*144.5)/.20699 = 2792.41
which produces the interval for the standard deviation of:
6.24 < s < 52.84