45-733 PROBABILITY AND STATISTICS I
A SHORT GUIDE TO CONFIDENCE INTERVALS
Confidence Sample Size Variance What Test Interval (Type of Distribution) to Use
s2 known IA Z Small Sample (Normal) s2 unknown IIIA t m s2 known IA Z Large Sample (Any) s2 unknown IIA Z
s2 known IB Z Small Sample (Normal) s2 unknown IIIB t m1 - m2 s2 known IB Z Large Sample (Any) s2 unknown IIB Z
p Large Sample NA VA Z
p1 - p2 Large Sample NA VB Z
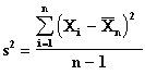
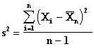
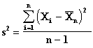
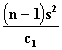
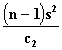
s2 Small and Large (Normal) NA IV c2
Confidence Limits
![]()
Confidence Limits

![]()
where 
Confidence Limits
![]()

Confidence Limits

![]()
where 
Confidence Limits
![]()

where 

where 
Confidence Limits
and

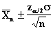
When the sample size is large, the
Central Limit Theorem allows us to
calculate confidence intervals for proportions (technically the random
sample is drawn from a
Bernoulli distribution). Recall
that
![]()
Using the Central Limit Theorem we assume that
~


Confidence Limits
![]()
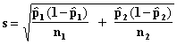
Let p1 and p2 be the two population proportions and let n and m be the sample sizes from the two populations respectively. Using the Central Limit Theorem we assume that
~

![]()
where 