Homework 9, POLS 8505: MEASUREMENT THEORY
Due 30 March 2015



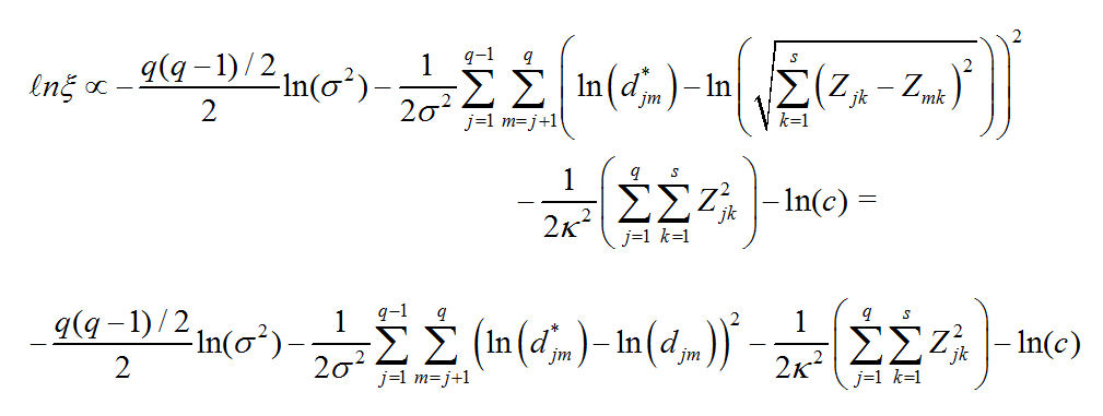
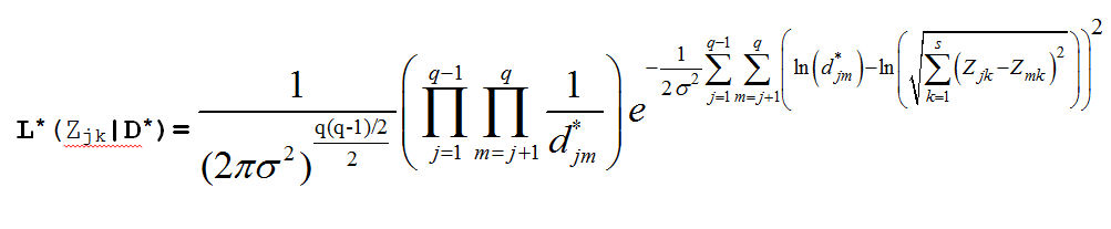
  1. In this problem we are going to analyze the nations data with a more realistic Likelihood Function where we assume that the observed distances have a log-normal distribution. We are also going to take a Bayesian approach and state prior distributions for all of the parameters of our model. Hence, rather than minimizing a squared-error loss function we are going to maximize the log-likelihood of a posterior distribution.

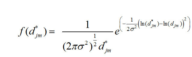
    We assume that our observed distances have the log normal distribution:


    Which produces the Likelihood Function:


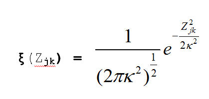
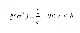
    Our prior distributions for the coordinates and the variance are:


    And the log of our Posterior Distribution is:


    We are going to use a version of metric_mds_nations_ussr_usa.r which we used in Homework 8, Problem 2 to find the coordinates and the variance term that maximizes the log-likelihood of the posterior distribution.

    Download the R program:

    metric_mds_nations_log_normal_2.r -- Program to optimize the Log-Normal Bayesian Model for the Nations data.

    Here is the function that computes the log-likelihood:
    
    fr <- function(zzz){
    #
    xx[1:18] <- zzz[1:18]
    xx[21] <- zzz[19]
    xx[19:20] <- 0.0
    xx[22] <- 0.0
    xx[23:24] <- zzz[20:21]
    sigmasq <- zzz[22]          We have an additional parameter -- the variance term of the log-normal
    kappasq <- 100.0            The variance term of the Coordinate priors
    sumzsquare <- sum(zzz[1:21]**2) Sum of the squared coordinates
    #
    i <- 1
    sse <- 0.0
    while (i <= np) {
      ii <- 1
      while (ii <= i) {
       j <- 1
       dist_i_ii <- 0.0
       while (j <= ndim) {
    #
    #  Calculate distance between points
    #
           dist_i_ii <- dist_i_ii + (xx[ndim*(i-1)+j]-xx[ndim*(ii-1)+j])*(xx[ndim*(i-1)+j]-xx[ndim*(ii-1)+j])
           j <- j + 1
           }            Note that this is the sum of squared differences of the logs
          if (i != ii)sse <- sse + (log(sqrt(TT[i,ii])) - log(sqrt(dist_i_ii)))**2
          ii <- ii + 1
         }
       i <- i + 1
       }   Here we have to include the variance term and the logs of the priors
      sse <- (((np*(np-1))/2.0)/2.0)*log(sigmasq)+(1/(2*sigmasq))*sse+(1/(2*kappasq))*sumzsquare
    return(sse)  Note that above we have multiplied the log-likelihood by -1 so that the optimizers will find a minimum
    }
    The number of parameters is equal to 22 (nparam=22) now and further down in the problem before the optimizers are called zzz[22] is initialized to 0.2.

    1. Run the program and turn in a NEATLY FORMATTED plot of the nations.

    2. Report errordc, xfit, checkinverse, and rfit.

    3. Report a NEATLY FORMATTED listing of the results Table.

    4. Add the code to produce a graph of the eigenvalues of the Hessian matrix. Turn in a NEATLY FORMATTED version of this plot with appropriate labeling.

  2. In this problem we are going to analyze the famous color similarities data with the same model we used in problem (1). We assume that the observed distances have a log-normal distribution. We are also going to take a Bayesian approach and state prior distributions for all of the parameters of our model. Hence, rather than minimizing a squared-error loss function we are going to maximize the log-likelihood of a posterior distribution. We are going to use a version of metric_mds_nations_ussr_usa.r which we used in problem (1) to find the coordinates and the variance term that maximizes the log-likelihood of the posterior distribution.

    Download the R program:

    metric_mds_colors_log_normal.r -- Program to optimize the Log-Normal Bayesian Model for the Colors Similarities data.
      colors.txt -- Colors Data used by metric_mds_colors_log_normal.r


    Here is the function that computes the log-likelihood:
    
    fr <- function(zzz){
    #
    xx[1:8] <- zzz[1:8]         There are 26 parameters: 14*2=28-3+1=26
    xx[9:10] <- 0.0             The 14 points in 2 dimensions = 28 coordinates
    xx[11:19] <- zzz[9:17]      The 5th point -- 490 Angstroms is the origin and
    xx[20] <- 0.0                the 2nd Dimension of 600 Angstroms is set to 0.0
    xx[21:28] <- zzz[18:25]     Hence, 25 coordinates plus the variance term = 26 parameters
    sigmasq <- zzz[26]
    kappasq <- 100.0
    sumzsquare <- sum(zzz[1:25]**2)
    #
    i <- 1
    sse <- 0.0
    while (i <= np) {
      ii <- 1
      while (ii <= i) {
       j <- 1
       dist_i_ii <- 0.0
       while (j <= ndim) {
    #
    #  Calculate distance between points
    #
           dist_i_ii <- dist_i_ii + (xx[ndim*(i-1)+j]-xx[ndim*(ii-1)+j])*(xx[ndim*(i-1)+j]-xx[ndim*(ii-1)+j])
           j <- j + 1
           }
          if (i != ii)sse <- sse + (log(sqrt(TT[i,ii])) - log(sqrt(dist_i_ii)))**2
          ii <- ii + 1
         }
       i <- i + 1
       } 
      sse <- (((np*(np-1))/2.0)/2.0)*log(sigmasq)+(1/(2*sigmasq))*sse+(1/(2*kappasq))*sumzsquare
    return(sse)
    }
    The number of parameters is equal to 26 (nparam=26) and further down in the program before the optimizers are called zzz[26] is initialized to 0.2. This program also has much more efficient code for putting the coordinates estimated by the optimizers back into a matrix for plotting purposes:
    #
    #  Put Coordinates into matrix for plot purposes
    #
    xmetric <- rep(0,np*ndim)
    dim(xmetric) <- c(np,ndim)
    zdummy <- NULL
    zdummy[1:(np*ndim)] <- 0        Note the parentheses around "np*ndim" -- R does weird things if you write [1:np*ndim]
    zdummy[1:8] <- rhomax[1:8]      
    zdummy[11:19] <- rhomax[9:17]   I transfer the coordinates from the optimizer back into a vector np*ndim long with the points stacked
    zdummy[21:28] <- rhomax[18:25]
    #
    i <- 1
    while (i <= np) 
      {
        j <- 1
        while (j <= ndim)
         { 
          xmetric[i,j] <- zdummy[ndim*(i-1)+j]  Now it is easy to put the coordinates back into an np by ndim matrix
          j <- j +1
         }
      i <- i + 1
      }
    1. Run the program and turn in a NEATLY FORMATTED plot of the colors.

    2. Report xfit and rfit and a NEATLY FORMATTED listing of the results table.

    3. Add this code fragment from metric_mds_nations_log_normal_2.r:
       
                 #
                 InvCheck <- xhessian%*%XXInv
                 checkinverse <- sum(abs(InvCheck-diag(nparam)))
                 #
      and report checkinverse.

    4. Add the code to produce a graph of the eigenvalues of the Hessian matrix. Turn in NEATLY FORMATTED plot with appropriate labeling.


  3. In this problem we are going to analyze the famous Morse Code Confusions data with the same model we used in problems (1) and (2). We assume that the observed Confusions when transformed to distances have a log-normal distribution. We are also going to take a Bayesian approach and state prior distributions for all of the parameters of our model. Hence, rather than minimizing a squared-error loss function we are going to maximize the log-likelihood of a posterior distribution. We are going to use a version of metric_mds_nations_ussr_usa.r which we used in problems (1) and (2) to find the coordinates for the letters and numbers and the variance term that maximizes the log-likelihood of the posterior distribution.

    Download the R program:

    morse_two_ways_log_normal.r -- Program to optimize the Log-Normal Bayesian Model for the Morse Confusions data.


    Here is the first part of the function that computes the log-likelihood:
    
    fr <- function(zzz){
    #
    #  A is set to the origin, (0.0, 0.0) and the 2nd dimension coordinate of 
    #    B is set to 0.0            Recall how dissimilar the letters "A" and "B" are
    #
    #    (26+10)*2 = 72
    #                72 - 3 + 1 = 70 There are 70 parameters: 36*2=72-3+1=70
    #
    xx[1:2] <- 0.0  # A
    xx[3] <- zzz[1]
    xx[4] <- 0.0    # B 2nd dimension coordinate
    xx[5:72] <- zzz[2:69]
    sigmasq <- zzz[70]
    kappasq <- 100.0
    sumzsquare <- sum(zzz[1:69]**2)
    etc. etc.
    1. Run the program and turn in a NEATLY FORMATTED plot of the colors.

    2. Report xfit and rfit and a NEATLY FORMATTED listing of the results table.

    3. Add this code fragment from metric_mds_nations_log_normal_2.r:
       
                 #
                 InvCheck <- xhessian%*%XXInv
                 checkinverse <- sum(abs(InvCheck-diag(nparam)))
                 #
      and report checkinverse.

    4. Add the code to produce a graph of the eigenvalues of the Hessian matrix. Turn in NEATLY FORMATTED plot with appropriate labeling.